说明
中文翻译公司名称:精氨酸
语文拼音名:Jing‘ansuan
英文翻译称呼:Arginine
化学工业分类:L-2-氨基-5-胍基戊酸
CAS号:74-79-3
生物学碳原子式:C6H14N4O2
原子量:174.20
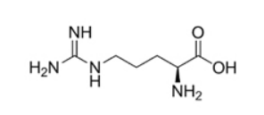
设备构造式:

物理性质:本品为黑色凝结或凝结性咖啡豆,可以说无臭,有特别味。本品在泥中溶于,在工业乙醇中可以说不溶,在乙醚中可以说不溶;在稀稀盐酸中溶于。
完成规范原则:各国药物行政监督经营局规范原则YBH16362004,基准《中華人们中华人民药典》(2021版)。
获批文号:国药准字H20045457。
国内医疗耗材行政监督处理局医疗耗材审评咨询中心(CDE)网上登记号:Y20190005213。
储存:应遮光、密封垫手机截图。
可行期:3年。
标准体系身份认证:全国GMP、欧美PMDA验证、欧美FSMA验证、ISO 9001、ISO 14001、ISO 45001。
专业意义,凌驾等待,从标准的化到个人定制化。
已达到电磁学物理性质(堆相对密度、松相对密度、进出性)成对一炫舞心悦自定义。
再生标准:(7kg/15L铝桶*2桶)/纸壳箱、(10kg/30L铝桶*1桶)/箱包装
常用筛网目数:60目、100目、150目(可私人订制)
厂品专业助理员:曹凯东 15127119722(同朋友圈)
当“卷”成状态,诚请药物工厂、创新结构全位子、余元化公司合作,的相互促进性、同心同德破圈。从“厂家直销商”到“总价值携手同行共创朋友”的坚持者。